Pre-prints
- Albert S. Kim, Transformed time series analysis of first-wave COVID-19: universal similarities found in the Group of Twenty (G20) Countries, Invited listing to European PubMed Central (PMC), https://europepmc.org/article/PPR/PPR175458, medRxiv, https://doi.org/10.1101/2020.06.11.20128991
- Albert S. Kim, Inverse Sampling of Degenerate Datasets from a Linear Regression Line, arXiv:2108.11477[stat.ME], DOI: https://doi.org/10.5281/zenodo.5513013, GitHub site for MATLAB source code : https://github.com/enphysoft/inverse-linear-regression
- Albert S. Kim, Adomian decomposition method reformulated using dimensionless nonlinear perturbation theory, submitted. arXiv:2501.10398, https://doi.org/10.48550/arXiv.2501.10398
Special Issue of Energies
- Special Issue “Selected Papers from The 8th International OTEC Symposium” Energies. Symposium site: http://otecsymposium2020.cemieoceano.mx/
Permanent Contribution to Mathematics
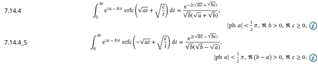
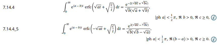
- The Digital Library of Mathematical Functions (DLMF) in the National Institute of Standards and Technology
- New Laplace Transforms: https://dlmf.nist.gov/7.14#E4_5
- Official credit recorded: https://dlmf.nist.gov/errata/#V1.2.5.I2.ix1
JOURNAL PAPERS
(2026 and ongoing)
- [76] Koh, M.J., Park, H., Kim, A.S., 2026. A probabilistic model of tsunami debris transport using stochastic reflection angle in collision dynamics. Coastal Engineering 208, 105005. https://doi.org/10.1016/j.coastaleng.2026.105005
(2025)
- [75] Albert S. Kim, Complete analytic solution for the spatiotemporal concentration profile during constant-flux dead-end filtration, Separation and Purification Technology, 379 (2025), 134485.
- [74] Ahmed Afifi and Albert S. Kim, A 21-year Study of Virtual Water Trade in Ukraine’s Agricultural Sector: Crop Production and Water Use, a special issue of “Balancing Competing Demands for Sustainable Water Development” under “Water Resources Management, Policy, and Governance” of Water Journal, in print (17-Apr-2025) PDF
- [73] Albert S. Kim and Isaiah Acorda, Specific Momentum and Energy for Flow through a Wide Quasi-rectangular Channel, Journal of Hydraulic Engineering, Volume 151(2), 06024013-1, http://doi.org/10.1061/JHEND8.HYENG-13768
(2024)
- [72] Albert S. Kim and Brenton Sasaoka, Scientific Aspects of Hapaiali’i Heiau, Vol. 133 No. 4 (2024), p. 455-464, Waka Kuaka: the Journal of the Polynesian Society.
- [71] Myungjin Koh, Hyoungsu Park, and Albert S. Kim, Tsunami-driven debris hazard assessment at a coastal community: Focusing on shipping container debris hazards at Honolulu Harbor, Hawaii, Volume 187, January 2024, 104408, Coastal Engineering. https://doi.org/10.1016/j.coastaleng.2023.104408
(2023)
- [70] Albert S. Kim, Transformed Time Series Analysis of First Wave COVID-19: Universal Similarities Found in The Group of Twenty (G20) Countries, International Journal of Applied Biology and Pharmaceutical Technology, 14(2) (2023)p. 16-30 doi:10.26502/ijabpt.202122
- [69] Albert S. Kim, The analytic solution of interfacial concentration with observed rejection ratio during dead-end membrane filtration, Desalination, 568 (2023) 117006. 10.1016/j.desal.2023.117006 NAMS2024-presentation
- [68] Petra Wojnarova, Jiri Rusin, Panagiotis Basinas, Martin Kostejn, Josef Nemec, Petr Stanovský, Albert S. Kim, and Pavel Izak, Unveiling the potential of composite water-swollen spiral wound membrane for design of low-cost raw biogas purification, Available online 9 August 2023, 124783, Separation and Purification Technology, 326 (2023), 124783. 10.1016/j.seppur.2023.124783
(2022)
- [67] Woochul Lee and Albert S. Kim, Dichotomy of thermal desalination: “To evaporate or to freeze, that is the question” (an opinion paper, invited), Examines in Marine Biology & Oceanography, v4 (2) (2022), p. 1-4.
- [66] Farokhnia, Ali, Seyyed Mohammad Jokar, Payam Parvasi, and Albert S. Kim. A Novel Design for Biodiesel Production from Methanol + Mutton Bone Fat Mixture, Biotechnology for Biofuels and Bioproducts 15, no. 1 (November 24, 2022): 130. (DOI: 10.1186/s13068-022-02229-4, Q1, IF: 7.21, formerly Biotechnology for Biofuels until Dec. 31, 2021)
- [66] Special Issue “Selected Papers from the 8th International OTEC Symposium”, Guest editor, Energies 15 (3), 954, 2022.
(2021)
- [65] Linlin Zang, Liguo Sun, Shaochun Zhang, Casey Finnerty, Albert S. Kim, Jun Ma, and Baoxia Mi, Nanofibrous hydrogel-reduced graphene oxide membranes for effective solar-driven interfacial evaporation and desalination. Chemical Engineering Journal, 2021 Oct 15. (DOI: 10.1016/j.cej.2021.129998)
- [64] Albert S. Kim, Hyeon-Ju Kim, and Deok-Soo Moon, Fast mesh generation method of densely packed hollow fibers for membrane separations, Journal of Computational Physics, 427 (2021) 110042 (preprint, DOI: 10.1016/j.jcp.2020.110042)
- [63] Albert S. Kim, Hyeon-Ju Kim, Kwang Jin Lee, Moo Seok Lee, Transient Hydrodynamic Stresses on Reciprocating Hollow Fibers using Hydro-Rattle Algorithm: A Constraint Dissipative Hydrodynamics Simulation, Journal of Membrane Science, 620 (2021) 118945 (preprint, DOI: 10.1016/j.memsci.2020.118945).
(2020)
- [62] Albert S. Kim, Complete analytic solutions for convection-diffusion-reaction-source equations without using an inverse Laplace transform, (Nature) Scientific Reports 10, 8040 (2020), https://doi.org/10.1038/s41598-020-63982w, PDF, https://rdcu.be/b4ci3, Supplementary Information (full derivations). YouTube Video
- [61] Albert S. Kim, Hyeon-Ju Kim, Ho-Saeng Lee, and Myung-Jin Koh, Computational Fluid Dynamics of a Corrugated Plate-and-Frame Heat Exchanger used for Ocean Thermal Energy Conversion, Journal of Environmental Engineering, 146 (2020) 04020040 (Special Collection on Emerging Applications of Computational Fluid Dynamics in Water Treatment) 10.1061/(ASCE)EE.1943-7870.0001688.
(2019)
- [60] Joshua L. Irvine and Albert S. Kim, Hydraulic design perspectives of bioswale vegetation layers, Desalination and Water Treatment, 143 (2019) 137-147. 10.5004/dwt.2019.23589
- [59] Joshua L. Irvine and Albert S. Kim, Coupled transport phenomena during initial storm-induced runoff in a biofiltration swale process: a CFD study using OpenFOAM, Desalination and Water Treatment, 140 (2019) 103-117. 10.5004/dwt.2019.23459
(2018)
- [58] Joshua Lelemia Irvine and Albert S. Kim, Understanding bioswale as a small water and wastewater treatment plant: A theoretical review, Desalination and Water Treatment, 135 (2018) 1–15. 10.5004/dwt.2018.23119
- [57] Tyler Tsuchida, Joshua Lelemi Irvine, Siufung Tang, Jamie Nishikawa, Leighton Lum, Albert S. Kim, Sewer Chamber Design under Critical Conditions using Computational Fluid Dynamics (CFD), Desalination and Water Treatment, 108 (2018) 1–14. 10.5004/dwt.2018.22019
- [56] Woonghee Lee, Peter K. Kang, Albert S. Kim and Seockheon Lee, Impact of surface porosity on water flux and structural parameter in forward osmosis, Desalination, 439 (1) (2018) 46-57. 10.1016/j.desal.2018.03.027
(2017)
- [55] Albert S. Kim, Man Hin Leung, Jung-Hyun Moon, Sung Woo Kim, Fortran 90 programming with physical unit annotations, Research Inventy: International Journal of Engineering and Science, 7 (6) (2017), 11- 21 PDF.
- [54] Albert S. Kim, Ho-Saeng Lee, Deok-Soo Moon, Hyeon-Ju Kim, Self-adjusting, combined diffusion in direct contact and vacuum membrane distillation, Journal of Membrane Science, 543 (2017) 255–268. 10.1016/j.memsci.2017.08.059
- [53] Albert S. Kim, Review of Basics Reverse Osmosis Process Modeling: A new combined fouling index proposed, Membrane Journal, 27 (4) (2017) 291-312. PDF
- [52] Peter K. Kang, Woonghee Lee, Seockheon Lee, Albert S. Kim, Origin of structural parameter inconsistency in forward osmosis models: a pore-scale CFD study, 421 (1) (2017) 47-60, Desalination, https://doi.org/10.1016/j.desal.2017.05.018
- [51] Albert S. Kim, Ho-Saeng Lee, Deok-Soo Moon, Hyeon-Ju Kim, Statistical theory of vapor transport through hollow fiber membranes in vacuum membrane distillation: Effusion analogy, Desalination, 410 (2017) 77-90. Link
- [50] Ho Ji, Mi-Yeon Choi, Ho Saeng Lee, Hyeon-Ju Kim, Albert S. Kim, Vacuum membrane distillation for deep seawater: experiments and theory, Desalination and Water Treatment, 58 (2017) 344-350.
- [49] Albert S. Kim, Seo Jin Ki, Hyeon-Ju Kim, Research Perspective of Membrane Distillation: Multi-scale and Multi-physics Phenomena, Desalination and Water Treatment, 58 (2017) 351-359.
- [48] Albert S. Kim, Min Soo Park, Ji Hee Min, Computational Fluid Dynamics Simulation of LiquiCel Membrane using OpenFOAM, Desalination and Water Treatment, 58 (2017) 360-367.
(2016)
- [47] Albert S. Kim, Ho-Saeng Lee, Deok-Soo Moon, Hyeon-Ju Kim, Performance control modeling on adsorption desalination using initial time lag (ITL) of individual beds, Desalination 369 (2016) 1-16. Full Text
- [46] Albert S. Kim, Hyeon-Ju Kim, Ho-Saeng Lee, and Sangwon Cha, Dual-use open-cycle ocean thermal energy conversion using multiple condensers for adjustable power generation and seawater desalination, Renewable Energy, 85 (2016) 344-358. PDF in RG.
- [45] Yongbok Lee, Youngjin Kim, Albert S. Kim, Seungkwan Hong, Evaluation of membrane-based desalting processes for RO brine treatment, Desalination and Water Treatment (abstract PDF link), 57 (16) (2016) 7432-7439
(2015)
- [44] Albert S. Kim and Seung Won Lee, Intrinsic Flux inequality of Forward Osmosis (FO) and Pressure-retarded osmosis (PRO) processes, Membrane Journal, 25 (2015) 367-372.
- [43] Albert S. Kim, Weyong Oh, Ho-Saeng Lee, Sangwon Cha, and Hyeon-Ju Kim, Perspective of vacuum membrane distillation in ocean thermal energy conversion, IDA Journal of Desalination and Water Reuse, 7(1-4) (2015) 17-24. Full Text in RG.
- [42] Seo Jin Ki, Tak Sugimura, and Albert S. Kim, OpenMP-accelerated SWAT simulation using Intel C and FORTRAN compilers: development and benchmark, Computers and Geoscience, 75 (2015) 66-72. URL. Full Text in RG.
- [41] Seo Jin Ki, Hyeon-Ju Kim, and Albert S. Kim, Big Data Analysis of Hollow Fiber Direct Contact Membrane Distillation (HFDCMD) for Simulation-based Empirical Analysis, Desalination, 355 (1) 56-67 (2015). URL. Full Text in RG.
- [40] Albert S. Kim, Cylindrical Cell Model for Direct Contact Membrane Distillation (DCMD) of Densely Packed Hollow Fibers, Journal of Membrane Science, 455 (2014) 168–186. URL. Full Text in RG.
- [39] Albert S. Kim and Sung Woo Kim, Performance analysis of forward osmosis processes from the integral equation theory, Desalination and Water Treatment, 51 (25-27) (2013) 5289-5297. URL PDF (proof)
- [38] Xiaoxiao Zhang, Albert S. Kim, and David Garmire, Particle Dynamics at the transition between inertial and Dean force dominant regimes, Chemical Engineering Science, 98 (2013) 69-76. PDF in RG.
- [37] Brent C. Houchens, Paul M. Boyle, and Albert S. Kim, Simulation of Colloidal Fouling by Coupling a Dynamically Updating Velocity Profile and Electric Field Interactions with Force Bias Monte Carlo Methods for Membrane Filtration, Journal of Colloid and Interface Science, 399 (2013) 77-86. PDF, URL
- [36] Albert S. Kim, Two-interface model for predicting the performance of direct contact membrane distillation, Journal of Membrane Science, 428 (2013) 410-424. PDF
- [35] En-Joo Jeon, Albert S. Kim, and Yong Taek Lee, Pervaporation of butanol/water mixtures using siloxane polymer/ceramic membranes, Desalination and Water Treatment, 48 (2012)17-26, PDF, URL.
- [34] Albert S. Kim and Seok-Tae Kang, Micro-hydrodynamics simulation of single-collector granular filtration, Chemistry Letters, 41 (10) (2012) 1288-1290. PDF
- [33] Albert S. Kim, Constraint dissipative hydrodynamics (HydroRattle) algorithm for aggregate dynamics, Chemistry Letters, 41 (10) (2012) 1285-1287. PDF
- [32] Albert S. Kim, Dissipative hydrodynamics (DHD) of rigid spherical particles, Chemistry Letters, 41 (10) (2012) 1128-1130. PDF
- [31] Yong Shi, Yong Taek Lee, and Albert S. Kim, Knudsen diffusion through cylindrical tubes of varying radii, Transport in Porous Media, 93 (3) (2012) 517-541, PDF URL.
- [30] Rong Yuan and Albert S. Kim, Study on fluid flow passing through a porous media, Acta Analysis Functionalis Applicata, 13 (4) (2011) 357-365. PDF
- [29] Yong Shi, Yong Take Lee, and Albert S. Kim, Permeability calculation of sphere-packed porous media using dissipative particle dynamics, Desalination and Water Treatment, 34 (2011) 277-283. PDF
- [28] Permeate Flux Analysis of Direct Contact Membrane Distillation (DCMD) and Sweep Gas Membrane Distillation (SGMD), Membrane Journal, 21(3) (2011) 236-246.
- [27] Albert S. Kim and Yong Taek Lee, Laminar flow with injection through a long dead-end cylindrical porous tube: Application to a hollow fiber membrane, AIChE Journal, 57 (8) (2010) 1997-2006. PDF website.
- [26] Ying Guo, Yong Shi, James E. T. Moncur, Yong Taek Lee, Kyoung Wan Kim, and Albert S. Kim, Analysis of Full-Scale Membrane Filtration Processes using Econophysics and Econometrics, Journal of Membrane Science, 365 (1-2) (2010) 170-179. PDF SciDir
- [25] Yanling Li, Nam Vu, and Albert S. Kim, 3-D Monte Carlo Simulation of Particle Deposition on a Permeable Surface, Desalination, 249 (2009) 416-422. PDF SciDir
- [24] Albert S. Kim, Alison E. Contreras, Qilin Li, and Rong Yuan, Fundamental Mechanisms of Three-Component Combined Fouling with Experimental Verification, Langmuir, 25 (2009) 7815-7827. PDF ACSonline
- [23] Alison E. Contreras, Albert S. Kim, and Qilin Li, Combined Fouling of Nanofiltration Membranes: Mechanisms and Effect of Organic Matter, Journal of Membrane Science, 327 (2009) 87-95. PDF SciDir SCOPUS
- [22] Albert S. Kim and Yuewei Liu, Critical Flux of Hard Sphere Suspensions in Crossflow Filtration: Hydrodynamic Force Bias Monte Carlo Simulations, Journal of Membrane Science, 323 (2008) 67-76. PDF SciDir
- [21] Albert S. Kim and Yuewei Liu, Irreversible Chemical Potential and Shear-Induced Diffusion in Crossflow Filtration. Industrial & Engineering Chemistry Research, 47 (2008) 5611–5614. PDF SciDir WebofKnowledge
- [20] Albert S. Kim, Permeate Flux Inflection due to Concentration Polarization in Crossflow Membrane Filtration: A Novel Analytic Approach, European Physical Journal E – Soft Matter, 24 (4) (2007) 331-341. PDF Springer ChemPort
- [19] Aileen N. L. Ng, and Albert S. Kim, A Mini-Review of Modeling Studies on Membrane Bioreactor (MBR) Treatment for Municipal Wastewaters, Desalination, 212 (2007) 261-281. PDF SciDir SCOPUS
- [18] Albert S. Kim and Aileen N.L. Ng, Hydraulic Permeability of Polydispersed Cake Layers: An Analytic Approach, Desalination, 207 (2007) 261-281. PDF SciDir SCOPUS
- [17] Albert S. Kim and Rong Yuan, Cake Resistance of Aggregates Formed in the Diffusion-Limited-Cluster-Aggregation (DLCA) Regime, Journal of Membrane Science, 286 (2006) 260-268. PDF SciDir SCOPUS
- [16 Albert S. Kim, Huaiqun Chen, and Rong Yuan, EPS biofouling in Membrane Filtration: An Analytic Modeling Study, Journal of Colloid and Interface Science, 303 (2006) 243-249. PDF SciDirSCOPUS
- [15] Huaiqun Chen and Albert S. Kim, Diffusive Tortuosity Factor of Solid and Soft Cake Layers: A Random Walk Simulation Approach, Journal of Membrane Science, 279 (2006) 129-139. PDF SciDirSCOPUS
- [14] Huaiqun Chen and Albert S. Kim, Prediction of Permeate Flux Decline in Crossflow Membrane Filtration of Colloidal Suspension: A Radial Basis Function Neural Network Approach, Desalination, 192 (2006) 415-428. PDF SciDir SCOPUS
- [13] Jim C. Chen and Albert S. Kim, Monte Carlo Simulation of Colloidal Membrane Filtration: Principal Issues for Modeling, Advances in Colloid and Interface Science, 119 (2006) 35-53. PDF SciDir (Ranked 23rd (January – March, 2006) among the latest ScienceDirect TOP 25 Hottest Articles within Advances in Colloid and Interface Science) SCOPUS
- [12] Jim C. Chen, Menachem Elimelech, and Albert S. Kim, Monte Carlo simulation of colloidal membrane filtration: Model development with application to characterization of colloid phase transition, Journal of Membrane Science, 255 (2005) 291-305. PDF SciDir SCOPUS
- [11] Albert S. Kim and Rong Yuan, Hydrodynamics of an ideal aggregate with quadratically increasing permeability, Journal of Colloid and Interface Science, 285 (2005) 627-633. PDF SciDirSCOPUS
- [10] Albert S. Kim and Rong Yuan, A new model for calculating specific resistance of aggregated colloidal cake layers in membrane filtration processes, Journal of Membrane Science, 249 (2005) 89-101. PDF SciDir SCOPUS
- [9] Kyung-Jin Chung, Huaiqun Chen, and Albert S. Kim, A new model for forecasting inundation damage within watersheds – An artificial neural network approach, Journal of the Korean Society of Hazard Mitigation, 5(2) (2005) 9-16.
- [8] Jim C. Chen and Albert S. Kim, Brownian dynamics, molecular dynamics and Monte Carlo modeling of colloidal systems, Advances in Colloid and Interface Science, 112 (2004)159-173. PDF SciDir (Ranked 13th (October – December, 2004 and January – March, 2005) and 14th (April – June, 2005) among the latest ScienceDirect TOP 25 Hottest Articles within Advances in Colloid and Interface Science) SCOPUS
- [7] Albert S. Kim and Keith D. Stolzenbach, Aggregate formation and collision efficiency in differential settling, Journal of Colloids and Interface Science, 271 (2004) 110-119. PDF SciDirLinkSCOPUS
- [6] Albert S. Kim, Chanho Park and Si-Hwan Park, Development of web-based engineering numerical software (WENS) using MATLAB: Application to linear algebra, Computer Applications in Engineering Education, 11 (2003) 67-74. PDF InterSci
- [5] Albert S. Kim and Eric M.V. Hoek, Cake structure in dead-end membrane filtration: Monte Carlo simulation, Environmental Engineering Science, 19 (2002) 373-386. PDF Liebert Online SCOPUS
- [4] Eric M.V. Hoek, Albert S. Kim and M. Elimelech, Influence of crossflow membrane filter geometry and shear rate on colloidal fouling in reverse osmosis and nanofiltration separations, Environmental Engineering Science, 19 (2002) 357-372. PDF Liebert Online SCOPUS
- [3] Albert S. Kim and Keith D. Stolzenbach, The permeability of synthetic fractal aggregates with realistic three-dimensional structure, Journal of Colloid and Interface Science, 253 (2002) 315-328. PDF SciDirLink SCOPUS
- [2] Albert S. Kim, Subir Bhattacharjee and M. Elimelech, Shear-induced reorganization of deformable molecular assemblages: Monte Carlo studies, Langmuir, 17 (2001) 552-561. PDF ACS OnlineSCOPUS
- [1] Subir Bhattacharjee, Albert S. Kim and Menachem Elimelech, Concentration polarization of interacting solute particles in cross-flow membrane filtration, Journal of Colloid and Interface Science, 212 (1999) 81-99. PDF SciDirLink SCopus
BOOKS (Open)
Sole Authored
- Albert S. Kim, Engineering Dynamics – Where Scientific Motion Flows With Indigenous Tradition (book, October 2025), Cambridge Scholars Publishing
https://cambridgescholars.com/product/978-1-0364-4945-2-2/
from the UH Manoa Hamilton Library, E-book link
Editing
- Albert S. Kim and Hyeon-Ju Kim, Ocean Thermal Energy Conversion (OTEC): the Past, Present, and Prospective, May 13th 2020, DOI: 10.5772/intechopen.86591, ISBN: 978-1-78985-572-2, Print ISBN: 978-1-78985-571-5, eBook (PDF) ISBN: 978-1-83880-521-0. UH Manoa Hamilton Library Link (As of July 11, 2021, this book reached more than 2500 downloads. IntechOpen-Book_Performance_Metrics)
- Albert S. Kim (book editor), Advanced Computational Fluid Dynamics for Emerging Engineering Processes – Eulerian vs. Lagrangian, InTechOpen, ISBN: 978-1-78985-031-4, (Dec. 11, 2019). (2500 downloads as of 20201118)
- Albert S. Kim (book editor), Nonequilibrium Particle Dynamics. InTechOpen, ISBN: 978-1-83968-078-6, (Dec. 4, 2019).
Chapters
- Albert S. Kim, Fundamentals of Irreversible Thermodynamics for Coupled Transport, InTechOpen, DOI:10.5772/intechopen.86607 (August 2, 2019).
- Albert S. Kim and Hyeon-Ju Kim, A Coupling Algorithm of Computational Fluid Dynamics and Dissipative Hydrodynamics, InTechOpen, DOI:10.5772/intechopen.86895 (August 2, 2019).
- Sangwoo Shin and Albert S. Kim, Chapter 5, “Temperature Effects on Osmosis“, in Osmotically Driven Membrane Processes – Approach, Development and Current Status (book title) edited by Hongbo Du, Audie Thompson and Xinying Wang (ISBN 978-953-51-5688-8), InTechOpen (March 28, 2018).
- Albert S. Kim and Hyeonju Kim, Chapter 2, “Dissipative Hydrodynamics of Granular Materials” in Granular Materials (book title), edited by Michael G. Sakellariou, InTechOpen (September 6, 2017).
- Albert S. Kim and Hyeonju Kim, Chapter 1, “Membrane Thermodynamics for Osmotic Phenomena” in Desalination (book title) edited by T. Yonar, InTechOpen (August 30, 2017). (1000 download as of 2020/11/20).
- Albert S. Kim, Chapter 1. “Bias Monte Carlo Methods in Environmental Engineering” in Applications of Monte Carlo Methods in Biology, Medicine and Other Fields of Science edited by Charles J. Mode, ISBN 978-953-307-427-6. (February 28, 2011)
News Media
My interdisciplinary opinions on Hawaii’s better future
- Albert S. Kim, Engineering Dynamics – Where Scientific Motion Flows With Cultures (book, in print), Cambridge Scholars Publishing (https://www.cambridgescholars.com/).
- KHON2 local news: UH research team finds ancient Hawaiian calendar system (by: Lucy Lopez) Feb 24, 2025,
- KHON2 News Facebook
- MSN News
- Yahoo News
- Big Island Now
- the State, Ancient shrine was a ‘sophisticated seasonal calendar’ in Hawaii. Here’s how it worked, by Sara Schilling, , February 25, 2025 3:04 PM
- KHON2 local news: UH research team finds ancient Hawaiian calendar system (by: Lucy Lopez) Feb 24, 2025
- A new publication featured in UH News: “2 decades later, solution to problem becomes published work,” UH News, May 15, 2018.
- Community Voice: The Ultimate Solution For Global Water Scarcity, Civil Beat, October 26, 2018.
- Opinions provided: Desalination has largely been abandoned in Hawaii. But that’s about to change, Hawaii News Now, Civil Beat, Thursday, June 21, 2018.
- What If The Planet’s Day Began In Hilo? (My most provocative idea for socio-economic future for Hawaii) appears in Honolulu local news media, Civil Beat, April 10, 2018.
- CEPL research on “Study uses 3D modeling to explore storm inundation risk,” UH News, February 28, 2018.
Digital Archive
- Albert S. Kim, Joshua Lelemia Irvine. interPhaseDiffusionFoam. 2018, Available from: https://github.com/enphysoft/interPhaseDiffusionFoam, doi:https://zenodo.org/badge/latestdoi/154744949

